ハイパープロジェクトのご紹介 >> 5分でわかるプロジェクトマネジメント
プロジェクト管理用のWindowsシェアウェア「ハイパープロジェクト」をこちらで配布・販売すると共に、プロジェクト管理の超入門ガイドを掲載しています。
最新更新日時: 2025年04月13日 19時01分
このフォルダのページビュー: 78390
| 2.1. なぜプロジェクトマネジメントが求められるのか |
|
|
|
長引く不況で、派遣社員や早期退職など人員削減や企業の子会社の閉鎖や統合、部門の再編成などといったリストラクチャリングが盛んに行われています。 「リストラ」というと単に人減らしというイメージが定着してしまいましたが、そのまま訳せば「再構成」であり、ビジネスのしくみを見直すということです。 単純に人を減らしても、残された人への負担が増してしまったり、企業の体力が落ちてしまっては「リストラ」の意味はありません。 固定費の削減による一時的な処置ではなく、会社組織のシステマティックな変革と業務の効率化によるリエンジニアリング・ビジネスイノベーションが求められているのです。 社内だけではありません。社内ですべてをまかなうのではなく、適材適所、得意分野を持つ外部の中小企業をうまく利用することで、固定費の削減や企業のスリム化・合理化が実現するのです。 また、終身雇用が崩壊に進むと同時に、個々にプロジェクトを抱え、そのプロジェクトの成果が評価されるようにもなりつつあります。 これまでの「YES/NO」を判断するだけの管理者から、社内・社外のスタッフを効率的に動かし、真の「マネジメント」ができるプロジェクトマネージャが求められているのです。 ただし、こういったプロジェクトマネジメントの手法については、日本では十分な教育がなされていません。 プロジェクトマネジメント手法として有名な、WBS手法、ガントチャート手法、およびPERT手法について、ここで簡単にご説明していきましょう。 |
| 2.2. プロジェクトとタスク |
|
そもそも「プロジェクト」とは何でしょうか? 基本的には「目的・目標」があり、そこには「期間」と「予算」が設定されており、時間とお金を効率的に使いながら意志決定をして目標を達成する業務単位をプロジェクトと呼びます。 例えば、「事務所引越」というプロジェクトを考えてみましょう。 「引越」 というプロジェクトは、大きく 「業者選択」 「公共機関への届け出」 「梱包作業」 「引越」 「生活用品購入」 「引越通知ハガキ作成」 などという作業にわかれます。 さらに、この中で、「公共機関への届け出」の中には、 「電話局への移転手続き」 「ガスの移転手続き」 「電気の移転手続き」 「郵便局への移転届」 「見積書作成」 「金融機関への住所変更」 と、更に細かい作業に分れます。 |
| 2.3. 作業を洗い出す作業=WBS |
|
これを管理する為に、多くのプロジェクト管理手法(ソフト)では、プロジェクトを構成する作業全てをタスクと呼び、階層構造を持たせています。 小さなプロジェクトでは、業務を細分化するといっても、全体の管理者が思いついたものを単純に並べていけば済むかもしれません。 しかし、新規のプロジェクトや、中長期に渉るプロジェクトや、たくさんの部門や会社が係わる複雑なプロジェクトになると、まだ未確定であったり、全体の管理者だけでは判断のつかない業務もでてきます。 その場合には、WBS(ワーク・ブレークダウン・ストラクチャ)という業務の細分化が必要になります。基本的には、現場の担当者などを集めて、個々の作業=タスクを洗い出していきます。 まだ不確定なタスクについては、大まかに手順だけを決めておき、計画が進むにつれて細分化していきます。 また、所要日数なども、現場の人間の予想日数と、全体の管理者の予想日数などで、楽観値(最短予想)と悲観値(最長予想)を割り出して所要日数を割り出していきます。 このようにして作業を洗い出し、各担当者に確認させることで、計画段階での抜け落ちを防ぎ、全体管理者だけが考えた独りよがりな計画ではなく、プロジェクトに係わる全員が納得でき、プロジェクト全体を見渡せる計画を作ることができます。また、どの部分がリスク(コスト増大・計画遅延)が高くなりそうかを判断しやすく、見積精度を高めることもできます。 WBSの手法としては、ツリー型・作業手順表型、業務フロー型など様々ですが、先述のように、階層を用いて、大まかな作業の流れを描き、その作業を更に細分化するというのが基本です。 |
| 2.4. ガントチャートの理論 |
|
|
|
ガントチャートは、第1次世界大戦での複雑な兵たん調達諸業務間の段取り・調整の効率を高めるために生まれたマネジメント手法です。 ガントチャートは、スケジュール管理などでもっともよく使われる表現方法で、作業期間を横棒の長さで表現したグラフです。線表とかバーチャートとも呼ばれています。 誰でも「何時から何時までどの勉強をする」というスケジュールをバー状に描いたことがあるでしょう。 そういったものは、自分1人とか、せいぜい団体で1つの作業をするというスケジュール表程度でしょうが、プロジェクトとなると、担当者や顧客の都合もあり、かなり複雑になってきます。 一般にガントチャートとは横方向にカレンダーを持ち、棒グラフ形式でスケジュールの期間を表現します。 作成も簡単で、進捗状況を把握しやすく、しかも見やすいという利点があります。 ガントチャートなんてEXCELで十分、と思っている人も多いでしょう。 しかし、一つ一つの仕事が独立しているような表現になって仕事間の関係が掴みにくく、また管理の重点・問題点がはっきりしないという欠点もあります。 更に、書き直すのが大変で、スケジュール管理上重要である中途変更や将来予測といったことがむずかしいという問題もあります。 |
| 2.5. PERT理論とは? |
|
|
|
PERTとはProgram (Project) Evaluation and Review Techniqueの略称で、米国の軍事研究開発用に考案され、その後、製品の研究開発、ソフトウェア開発、システム導入プログラム、販売計画、工場の工程管理、マーケティングプログラム、宣伝広告プログラムなど、米国を中心として様々な業種/業務で広く利用されるようになった汎用的な計画管理の手法です。 PERTはガントチャートなどの棒グラフ形式でスケジュールを表現するバーチャート形式ではなく、ネットワーク方式のスケジュール管理手法です。 ガントチャートは、作成も簡単で、進捗状況を把握しやすく、しかも見やすいという利点がありますが、逆に、一つ一つの仕事が独立しているような表現になって仕事間の関係が掴みにくく、また管理の重点・問題点がはっきりしないという欠点もあり、この他にスケジュール管理上重要である中途変更や将来予測といったことがむずかしいという問題もあります。 そこで、開発された手法が“PERT”です。 PERTはネットワーク方式なので、ガントチャートと比べると個々の作業の進捗が見づらいという部分があり、その為、PERTで組み立てられた計画をガントチャートで表わすことが多いのです。 また、手書きでPERT図を作成するには時間がかかるという欠点もあります。 しかし、ネットワーク方式なので、仕事の相互関係と順序を明らかにしやすく、また進行中に遅れが発生したりした場合、その後の日程予測がしやすいという利点があります。 |
| 2.6. PERTの考え方(アロー型) |
|
|
|
これまではPERT図を手書きで作成していたために、書き直したり、いろいろなパターンを書くのが非常に面倒でしたが、現在はパソコンで手軽に作成でき、更に計算も自動で行ってくれるので、計画の手順を組み直すことで、より効率的な計画をシミュレーションして模索するということも可能になっています。 PERT図には、アロー型(表示)とフロー型(表示)の2種類が代表的です。 PERTの概念を理解しやすいのはアロー型です。PERTに基づいてアロー型の計画表をつくると図のようになります。 この図で、○印を“ノード”(Node)、あるいは“イベント”(Event)と呼びます。 矢印が出るところが作業を開始する点であり、矢印の先が作業を終了する点であり、両方を兼ねている場合、前の作業が終了しないと次の作業が始まらないということになります。ネットワークが仕事のつながりを表す以上、一つの仕事の開始と終了を明らかにして、次の仕事がどこから始まるのかをはっきりさせなければなりません。 上図の○印は、○で囲まれた数字でも表わします。(この場合は、先行ノード、後続ノードと呼ばれます) あるアクティビティが他のアクティビティの開始日に影響を与えるような場合に、ノード番号を管理することでその影響を反映させスケジュールを変更する為に用いられる番号です。 アクティビティAが終了しないと、アクティビティCとアクティビティDが開始できない(例:原稿完成が3日遅れると校正と写真撮影の開始日も3日遅れる)などという時に、 アクティビティA:先行ノード=1/後続ノード=2 アクティビティC:先行ノード=2/後続ノード=4 アクティビティD:先行ノード=2/後続ノード=5 というふうに、「Aの後続ノード番号=C・Dの先行ノード番号」にするわけです。 |
| 2.7. ゆとり時間とクリティカルパス |
|
|
|
上記の例で、タスクB-タスクFの作業ライン(太い線)は、所要日数の合計が8日となっており、A-C-(d1)-Eライン(5日)よりも3日分・A-D-Eライン(6日)よりも2日分、それぞれ多くかかることになっています。このB-Fラインで作業に遅れが出ると、その後に続くGというアクティビティの開始が遅れ、プロジェクト全体の遅れに繋がります。 このように、あるタスクが遅れるとプロジェクト全体の進捗に支障をきたすような作業の流れをクリティカルパスと呼び、PERT図では太い線で表わされます。 これに対し、クリティカルパス以外の流れの中では作業に余裕があるものもでてきます。 この余裕を表わすのが、ゆとり時間と呼ばれるものです。 上記のA-D-Eラインは、クリティカルパスに対して2日のゆとり時間があります。 また、A-C-(d1)-Eラインは、クリティカルパスに対して2日のゆとり時間があり、更にA-D-Eラインに対しても1日のゆとり時間があります。 ゆとり時間の取り方には、最優先で作業を行い、ゆとり時間を作業の後にとる方法と、作業をスケジュールの遅れない範囲でぎりぎりまで着手しない方法があります。 納期が決まっていない場合にはゆとり時間を前にとりますが、納期が与えられていれば逆に最優先で着手するようにゆとり時間を後にとることが可能です。 クリティカルパスがどういう流れで、それに対してゆとりのあるアクティビティがどのくらいあって、どの手順を変更すれば無駄なゆとり時間を無くし、時間短縮を行えるかを検討することができるわけです。 |
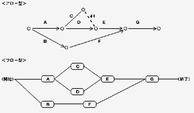
| 2.9. アロー型PERTとフロー型PERT |
|
|
|
さて、これまでアロー型のPERT図にて説明してきましたがパソコンの多くのソフトではフロー型のPERT図を採用しています。 フロー型のPERT図は、フローダイヤグラムとかプレシーデンス型、サークルノーテイションとも呼ばれます。 ではフロー型のPERT図はアロー型とどう違うのか、前図のアロー型と同じ計画をフロー型で見てみましょう。 一見すると、あまりアロー型と変わらないようですが、表現方法は全く異なります。 まず、フロー型では、アクティビティ(タスク)自体を記号(丸印や箱型)で表わし、その記号の中にアクティビティ名が書込まれます。(さらにその中に所要日数や開始予定日を書込む場合もあります) アロー型では矢印自体がアクティビティを表わしていましたが、フロー型では、矢印は他の作業との順序関係を表わしているだけで、時間的な意味を持ちません。ですから、ダミーという考え方もありません。このように作業を矢印ではなく記号で表現することで作業間の関係が判りやすくなっています。 PERTの概念を掴むのにはアロー型の方が理解しやすいのですが、アクティビティが矢印では直観的に判断しにくく、PERT図を再構築しにくい(組み立てなおしにくい)というデメリットがあります。 特にコンピュータでPERT図を作成するメリットは、関連の仕方を自由に変更したり、アクティビティの所要日数を変更した時に、日付などの再計算を自動的に行ってくれたりするところにあります。また、コンピュータがノード番号さえ管理してくれれば、人間がノードを考慮に入れながら組み立てる必要も無くなります。 そこで、いったん設定したアクティビティ間の順序を変更する際に、アクティビティ記号をアイコン化し、マウスを使って自由に配置したり、作業間の関連を表わすリンク線で結んだりするのにはフロー型のPERT図が適しているわけです。 PERTが日本に紹介された当初はアロー型がほとんどでしたが、適応できる業種が増えて、パソコンで処理できるようになった現在、フロー型が一般的になっています。 |
| 2.10. パソコンによるプロジェクトマネジメント |
|
|
|
米国で誕生したプロジェクトマネジメント手法は、80年代の不況対策としてのホワイトカラーのスリム化を促進しました。 その基本としては、管理者層を増やすことなく、現場のマネージャなどに管理の責任を持たせ、最小限のユニットで生産性を高める手法を模索したのです。 手書きによるPERT図やガントチャートは、作成するのに手間がかかってしまう上に、長期に渉るプロジェクトの場合には、要所要所に計画を見直し、線を引き直すことが不可欠なのですが、また一から計画を作り直すことになり、非常に手間がかかってしまうという欠点があります。 このような理由で、米国ではパソコンが一般化する前からパソコン用のプロジェクトマネジメントソフトが作られてきました。 ちょうど80年代後半から普及しはじめたパソコン用のプロジェクトマネジメントソフトがその方向性を作り出したともいえるでしょう。 ただ、欧米のシステムだけを導入しても日本のビジネスのしくみにはなかなか合わず、これまではごく一部の業種でしか採用されませんでした。米国のようにプロジェクトマネジメントが浸透している土壌で開発されたソフトは、そのまま日本で使おうと思っても、設定や操作が細かすぎる為に修得に時間がかかり、結局使えるまでの手間がかかってしまいます。しかも、本当にプロジェクト管理が必要なのは現場の管理者であり、時間の限られた管理者への負担になっては本末転倒となってしまうのです。 |
| 2.11. プロジェクトマネジメント=スケジュール管理だけではない |
|
プロジェクト管理ソフトとは、単なるスケジュール管理ソフトではありません。 プロジェクトの資源(リソース)である人材の管理、コスト管理、負荷の管理まで、様々なマネジメントが必要となります。 特に長期に渉る大規模プロジェクトでは、実際の進捗状況を反映させ、随時計画と実際とのズレを把握しながら計画を見直す必要があります。 同様に、複数のプロジェクトを同時進行させた場合にも、同時に係わるスタッフの負荷がきつくなれば無理が生じてしまいます。かといってスケジュールに必要以上の空きができると無駄が生じてしまいます。 このムリ・ムラ・ムダを省くためにも、 Plan(計画)→Do(遂行)→Check(管理)→Action(最適化)全てのシーンで活用できる、総合的なプロジェクトマネジメントが不可欠になるのです。 PDCAサイクル支援のためのプロジェクト管理ソフトの需要がますます高まっていくといえるでしょう。 プロジェクトマネジメントに大切なのはツールや手法ではなく、人と人の間に立って調整するコミュニケーション力である、といわれます。 以上、非常に大まかではありますが、プロジェクトマネジメントの概念についてご説明いたしました。 |
|
2.12. 参考図書
|
|
プロジェクトマネジメントは業種によって様々ですから、その業種向けの解説書などが販売されています。 ここではその前段階の、汎用的なプロジェクトマネジメントについて、今回記した内容をもっと詳しく学びたい、という方に、サブカードとして主なプロジェクトマネジメント関係の書籍を挙げておきます。 |
